• Предмет: Геометрия
  • Автор: Верос
  • Вопрос задан 11 лет назад

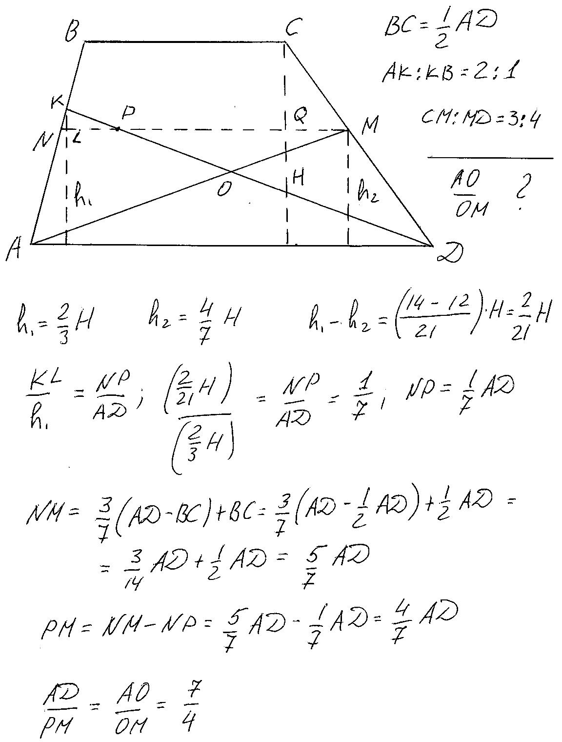
В трапеции длина большего основания относится к длине меньшего основания как 2:1. На боковой стороне AB выбрана точка K так, что AK:KB=2:1, а на другой боковой стороне CD выбрана точка M так, что CM:MD=3:4. Отрезки AM и DK пересекаются в точке O. Найти отношение AO:OM.

Ответы

Ответ дал: Fatter
0

Из точек К, С,М проведём высоты, соответственно h1,H.h2.Проведём NM параллельно АД.  Затем из подобия треугольников и заданных соотношений отрезков боковых сторон, найдём маленькую высоту KL треугольника NKР.(смотри рисунок). Далее из подобия треугольников NKP и АКД находим величину NP=1/7АД. Затем находим NM(теорема Фаллеса и подобие треугольников) и PM. Далее из подобия треугольников POM и АОД окончательно находим АО/АМ=7/4.

Приложения:
Вас заинтересует