• Предмет: Алгебра
  • Автор: ser00
  • Вопрос задан 10 лет назад

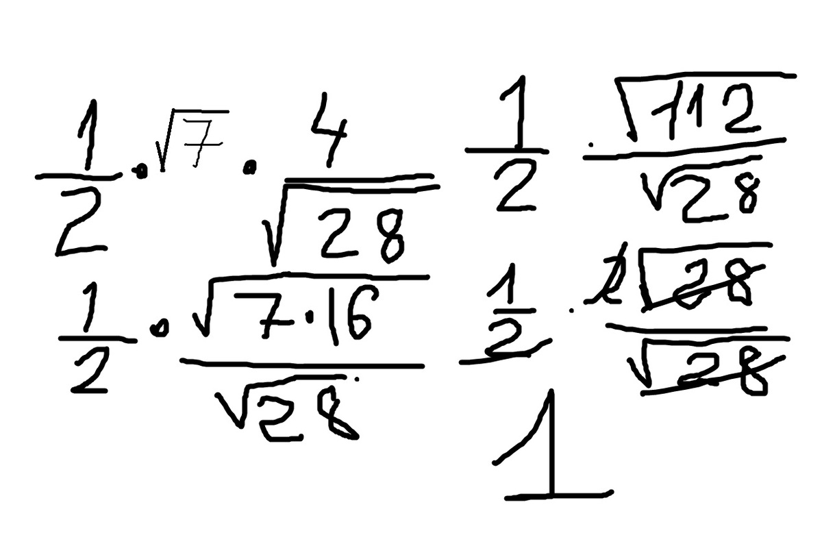
Помогите 1/2√7×4/√28

Ответы

Ответ дал: Аноним
0
вот............................
Приложения:
Вас заинтересует