• Предмет: Алгебра
  • Автор: valknut
  • Вопрос задан 11 лет назад

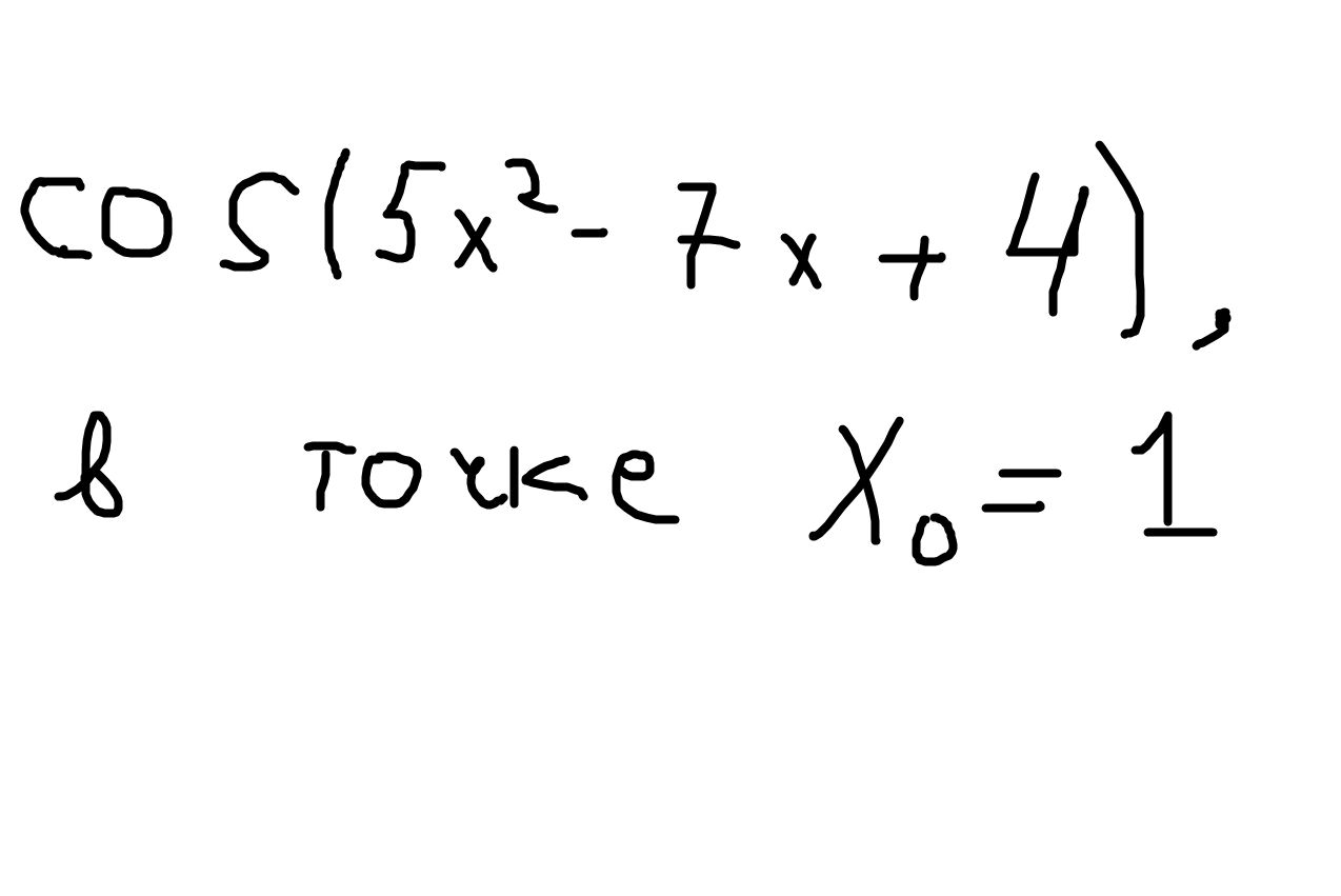
Задание вложено внутри.Нужно найти производную функции

Приложения:

Ответы

Ответ дал: Гоша68
0

f'=-sin(5x^2-7x+4)*(10x-7)

f'(1)=-3*sin(5-7+4)=-3sin2

Вас заинтересует