• Предмет: Алгебра
  • Автор: qu0dy
  • Вопрос задан 11 лет назад

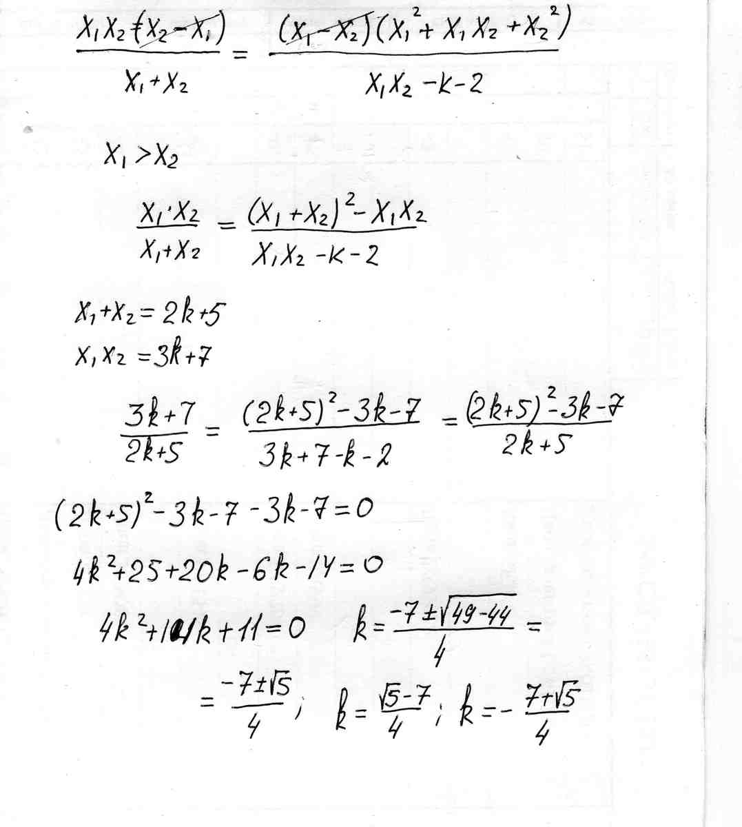
Нужно решить вторую задачу(теорема Виета), точнее нужно чтобы я понял что к чему, т.к у меня в ответе выходит абракодабра.

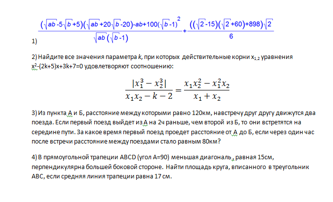
Приложения:

Ответы

Ответ дал: Гоша68
0

k1=-(7+sqrt(5))/4

k2=(sqrt(5)-7)/4

 

Приложения:
Вас заинтересует