• Предмет: Алгебра
  • Автор: valknut
  • Вопрос задан 11 лет назад

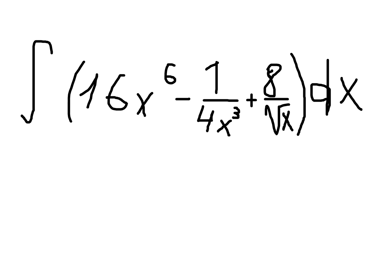
Найти неопределённый интеграл:

Приложения:

Ответы

Ответ дал: Гоша68
0

16/7*x^7+(1/8)*(1/x^2)+16sqrt(x)

Ответ дал: Аноним
0

∫(16х⁶ - 1/(4х³) + 8/√х)dx =

= ∫(16х⁶ - 1/4 ·х⁻³) + 8·x^(-0.5)dx =

= 16·х⁷/7 - 1/4 ·х⁻²/(-2)) + 8/0.5 ·x^0.5 =

= 16х⁷/7 + 1/(8х²) + 16√x

Вас заинтересует