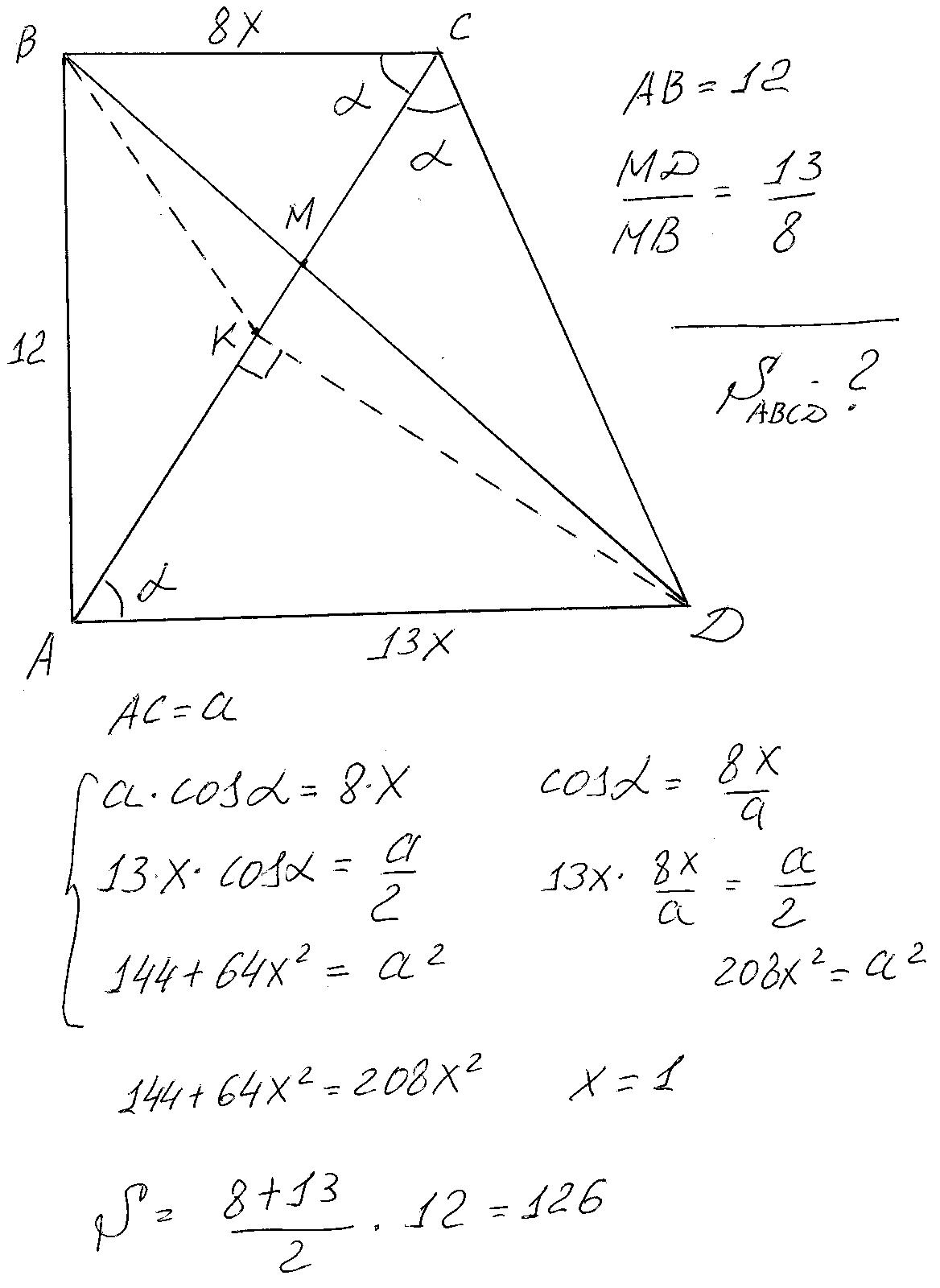
У прямокутній трапеції менша діагональ є бісектрисою тупого кута і ділить другу діагональ на відрізки у відношенні 13:8 починаючи від вершини гострого кута. Обчисліть площу трапеції, якщо її висота дорівнює 12см.
Ответы
Углы САД и ВСА равны как накрест лежащие.Обозначим их "альфа". Тогда треугольник АСД -равнобедренный и СД=АД. Поскольку АС биссектриса, то ВС/СД=8/13. Или ВС/АД=8/13. Обозначим единицу пропорции Х, тогда ВС=8Х, АД=13Х. КД-медиана в треугольнике АСД. Поскольку треугольник равнобедренный она будет также и высотой, то есть КД перпендикулярно АС и значит треугольник АКД прямоугольнный(смотри рисунок). Далее рассматриваем два прямоугольных треугольника АВС и АКД. Составляем систему трёх уравнений с тремя неизвестными. Первые два уравнения-тригонометрия, третье-теорема Пифагора. Окончательный ответ S=126.
