• Предмет: Алгебра
  • Автор: Рентгенный
  • Вопрос задан 10 лет назад

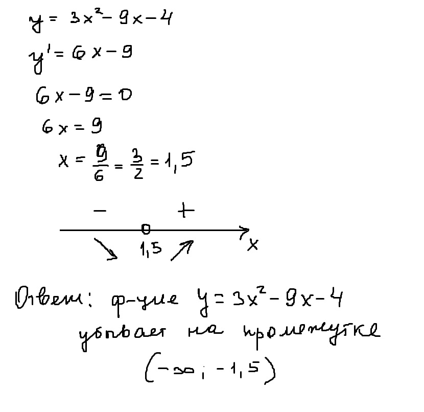
Найдите промежуток (промежутки) убывания функции:
y=3x²-9x-4

Ответы

Ответ дал: esmilya
0
Если понравилось решение - нажимай "спасибо" и "лучший" (рядом с кнопкой "спасибо") :)
Приложения:
Ответ дал: Рентгенный
0
Кружок должен быть выколотый, а значит скобка со стороны числа квадратная, а так все верно)
Ответ дал: esmilya
0
нет, когда скобка квадратная, то кружок черный. Точку 1,5 нельзя брать, т.к. в этой точке функция не убывает и не возрастает
Ответ дал: Рентгенный
0
Я выколотый и черный путаю
Вас заинтересует