• Предмет: Математика
  • Автор: svyat777
  • Вопрос задан 11 лет назад

Помогите плизззззз.

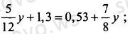
Уравнение:

5/12y + 1,3 = 0,53 + 7/8y 

Приложения:

Ответы

Ответ дал: armen98
0

Умножим обе части на 24.

Получим 10y+31,2=12,72+21y. Соберем переменные в правой части а числа в левой

18,48=11y

y=1,68

Ответ: 1,68

Ответ дал: Quintessence
0

5у/12-7у/8=0,53-1,3;

(10у-21у)=(-0,77)*24;

-11у=-18,48;

у=1,68.

Вас заинтересует