• Предмет: Алгебра
  • Автор: ЯсяКотова
  • Вопрос задан 10 лет назад

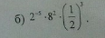
Задание на картинке.Вычислите:

Приложения:

Ответы

Ответ дал: aleksa237
0
2 ^{-5}*(2 ^{3} )^2*(2^{-1})^3=2^{-5}*2^6*2^{-3}=2^{-2}= frac{1}{4}
Вас заинтересует