Ответы
Ответ дал:
0
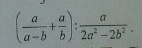
Вот. Я просто упростил это выражение
Приложения:

Ответ дал:
0
----------------------------------------------------------
Приложения:

Вас заинтересует
2 года назад
2 года назад
8 лет назад
8 лет назад
10 лет назад
10 лет назад
10 лет назад