Ответы
Ответ дал:
0
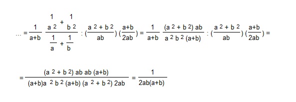
Испоьзовано определение степени с отрицательным показателем, правила сложения, умножения, деления, сокращения алгебраических дробей
Приложения:

Вас заинтересует
2 года назад
8 лет назад
10 лет назад
10 лет назад
10 лет назад
10 лет назад