• Предмет: Алгебра
  • Автор: YoooS
  • Вопрос задан 10 лет назад

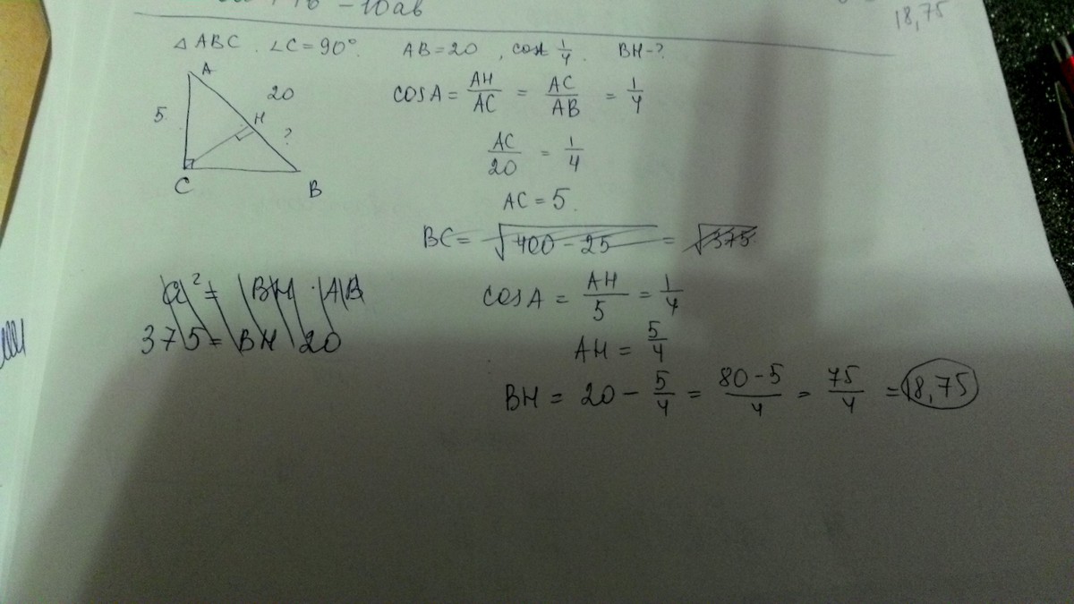
abc<C=90, CH высота  AB =20 cos=1/4 найдите Bh. хелп

Ответы

Ответ дал: albina17091996
0
.....................................................
Приложения:
Вас заинтересует