ученикам 7 класса вопрос 2983 по математике
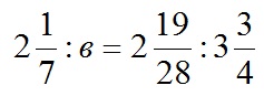
решите уравнение:2 1/7 : b=2 19/28 : 3 3/4
взрослым дядям просьба не мешать
для решения рекомендую использовать
редактор формул в Worde
кстати
не вижу его в Office 2010
Приложения:

Ответы
Ответ дал:
0
1) 21:7 в=219/28 :33/4
3в = (делим и переводим в неправельную дробь,сокращаем)
3в = 73/33
в = 73/33: 3 ( 73/33 дробь- при делении вторую дробь переварачиваем1/3)
в = 73/99
2) периводим все дроби в неправильные
15/7 : в = 75/28:15/4
15/7 : в = ( 75/28:15/4 -эти дроби делим между сабой и сокращаем)
15/7 : в = 5/7 дробью
в = 15/7 :5/7 вторую дробь переворачиваем
в = 15/7 * 7/5 семёрки сокращаются , 15 и 5 сократим на 5
в = 3
Вас заинтересует
2 года назад
8 лет назад
8 лет назад
10 лет назад
10 лет назад
10 лет назад