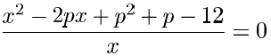
Найдите сумму всех различных значений параметра p, при которых уравнение
имеет ровно один корень.
Приложения:

Ответы
Ответ дал:
0
p^2+2p-12=0 p^2-p^2-p+12=0 p=12
cумма равна 12-2=10
ответ 10
Вас заинтересует
2 года назад
2 года назад
8 лет назад
10 лет назад
10 лет назад