Ответы
Ответ дал:
0
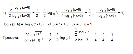
Использованы свойства логарифмов. Вместо определения ОДЗ применена проверка подстановкой. Поэтому модули под знаком логарифма после снятия показателя проигнорированы.
Приложения:


Вас заинтересует
2 года назад
2 года назад
8 лет назад
10 лет назад
10 лет назад
10 лет назад