Решить: 1.cos(п+2a)+sin(п+2a)*tg(п/2+a) 2.19+sin^4a-cos^4a+cos2a 3.4sin^2a+16sin^4a-16sin^2a 4.16ctg110градусов*sin105градусов*tg70*cos105 5.12ctg140*sin75*tg40*cos75 6.8cos2b, если 2cos2b+9sinb-4=0 7.cos2b,если 3cos2b+zzsinb-7=0 8.16cos20градусов*cos40*cos80 9.sin54*sin18 10.3(sun^4a+cos^4a)-2(sin^6a+cos^6) 11.(llog36по основанию5+log2по основанию5-log8по основанию5)*log 1/25 по основанию9 12.log12по основанию3-log7по основанию3*log5по основанию7*log4по основанию4
ПОМОГИТЕ ПОЖАЛУЙСТА
Ответы
Ответ дал:
0
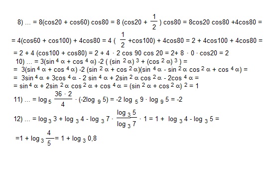
№7 - непонятно написано, в №12 - тоже какое-то странноватое условие.
А так: использованы свойства логарифмов. Применены: основное тригонометрическое тождество, формула преобразования суммы триг. функций в произведение и обратная формула, формула суммы кубов.
Приложения:


Вас заинтересует
2 года назад
2 года назад
8 лет назад
8 лет назад
10 лет назад
10 лет назад