Ответы
Ответ дал:
0
========================================
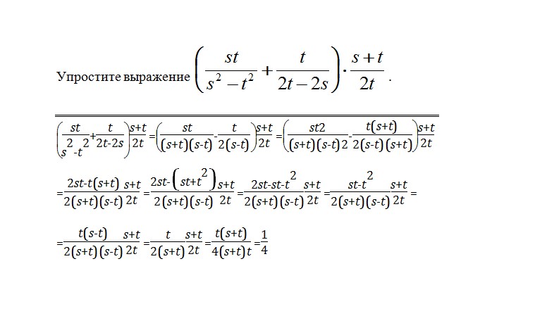
Приложения:

Вас заинтересует
2 года назад
10 лет назад
10 лет назад