• Предмет: Математика
  • Автор: kasimovaalika
  • Вопрос задан 10 лет назад

Помогите решить!
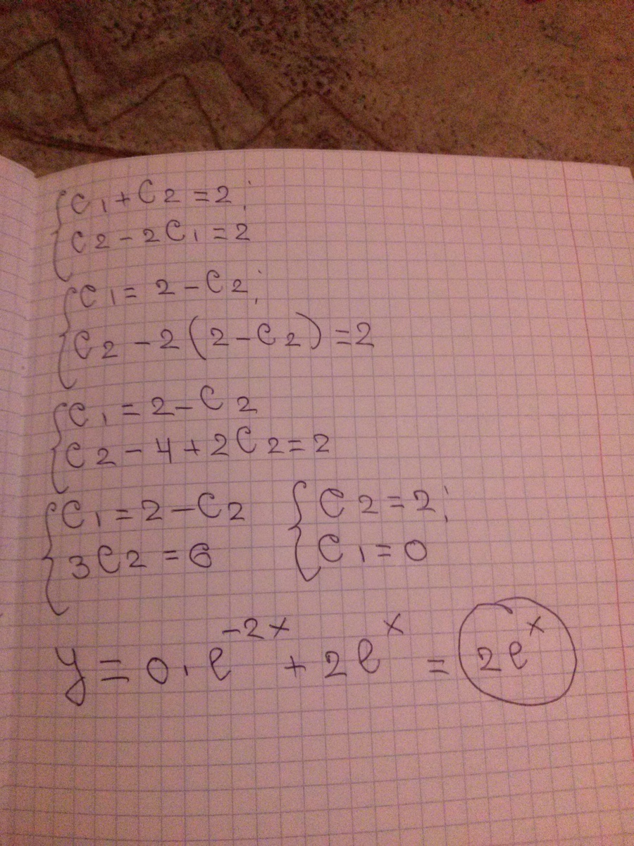
Решить задачу Коши для дифференциального уравнения, допускающего понижения порядка y''=2-y
 y(0)=2  y'(0)=2

Ответы

Ответ дал: Geograph
0
Кушать подано ! Надеюсь на благодарность! Обращайтесь!
Приложения:
Вас заинтересует