• Предмет: Физика
  • Автор: МолочныйСон
  • Вопрос задан 10 лет назад

Человек,идущий вдоль шоссе,смотрит в горизонтальном направлении и видит в лобовом стекле приближающегося автомобиля изображение Солнца. Считая,что угловая высота Солнца над горизонтом а=20градусов,оцените угол наклона лобового стекла автомобиля к горизонту .

(23)

Ответы

Ответ дал: Вікторівна
0
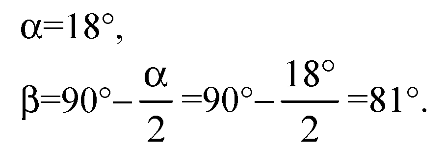
18 градусов замени на 20, обчисли и получишь результат!
Приложения:
Вас заинтересует