• Предмет: Алгебра
  • Автор: ctc9
  • Вопрос задан 10 лет назад

помогите пожалуйста..........

Приложения:

Ответы

Ответ дал: volkodav575
0
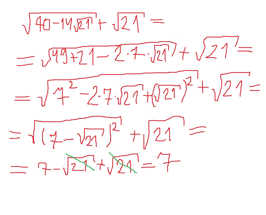
Решение на рисунке, надеюсь видно.
Приложения:
Вас заинтересует