• Предмет: Алгебра
  • Автор: ymiray
  • Вопрос задан 10 лет назад

Молю решите пятое через дискриминант 8 класс

Приложения:

Ответы

Ответ дал: tanya210100
0
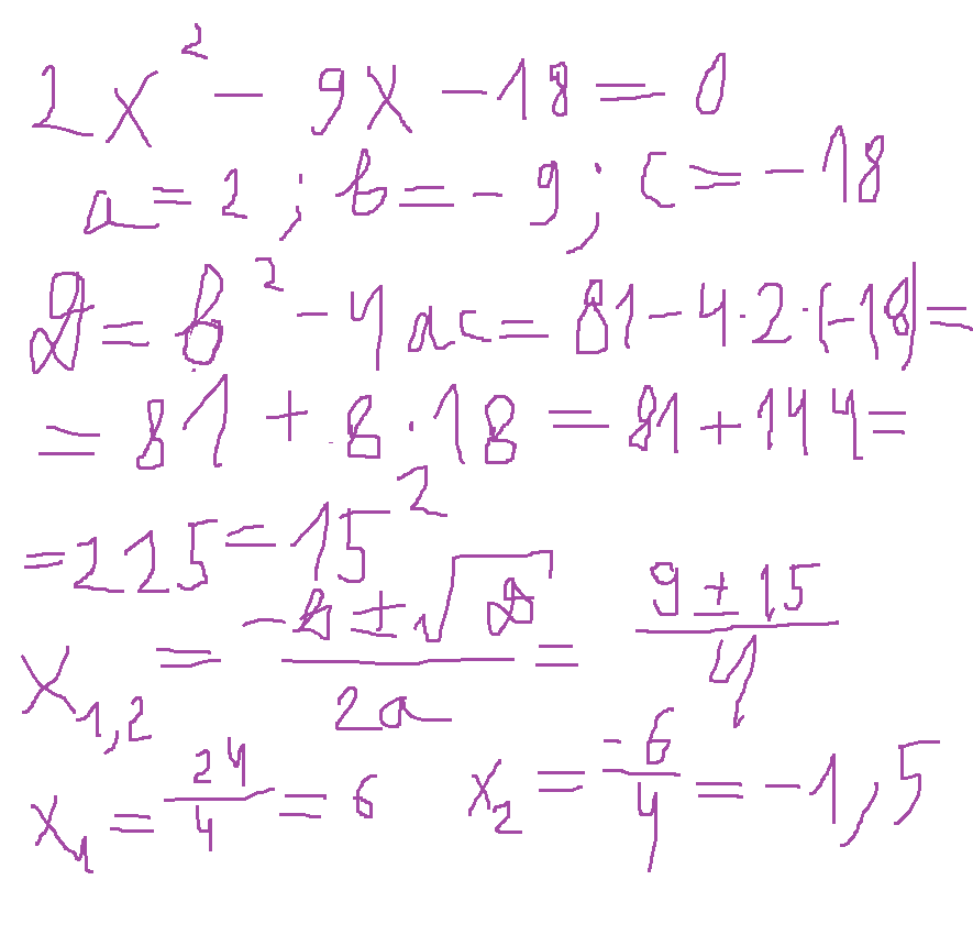
Вот решение на фотографии.
Приложения:
Ответ дал: volkodav575
0
Решение на рисунке, надеюсь видно
Приложения:
Вас заинтересует