• Предмет: Алгебра
  • Автор: kisss11
  • Вопрос задан 10 лет назад

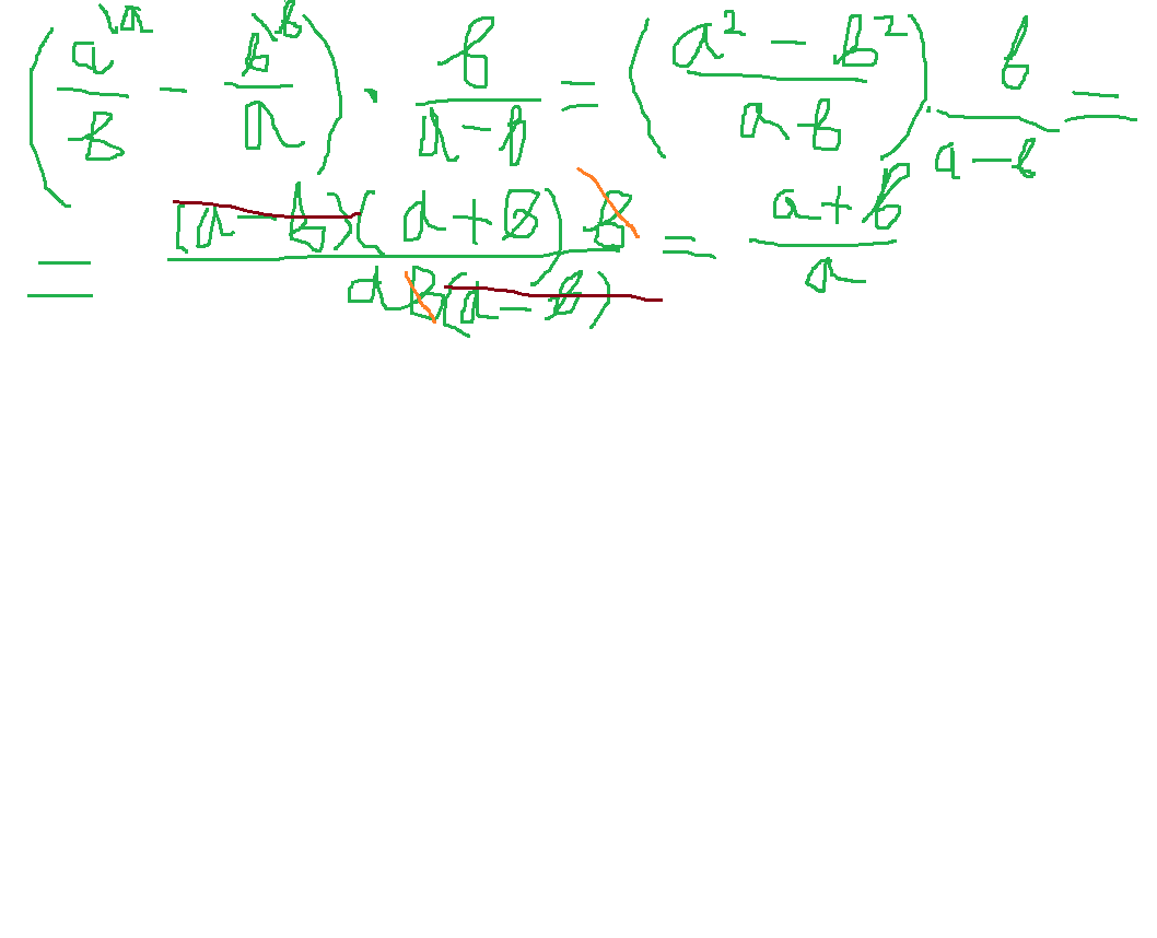
упростите выражение. помогите пожалуйста

Приложения:

Ответы

Ответ дал: volkodav575
0
Решение на рисунке, надеюсь разборчиво.
Приложения:
Вас заинтересует