• Предмет: Математика
  • Автор: Perry51
  • Вопрос задан 10 лет назад

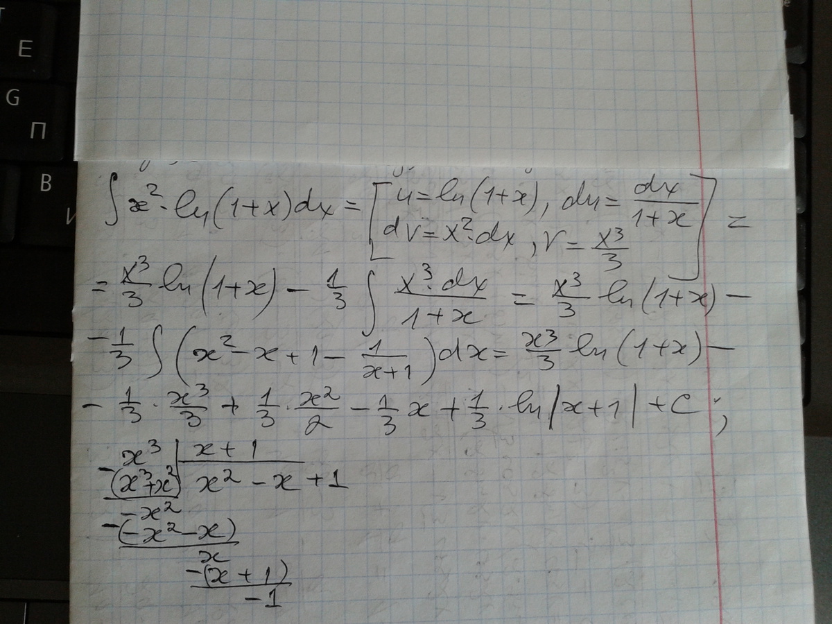
С решением пожалуйста

Приложения:

Ответы

Ответ дал: NNNLLL54
0
вложение ........................................
Приложения:
Вас заинтересует