• Предмет: Алгебра
  • Автор: LouisTommoTomlinson
  • Вопрос задан 10 лет назад

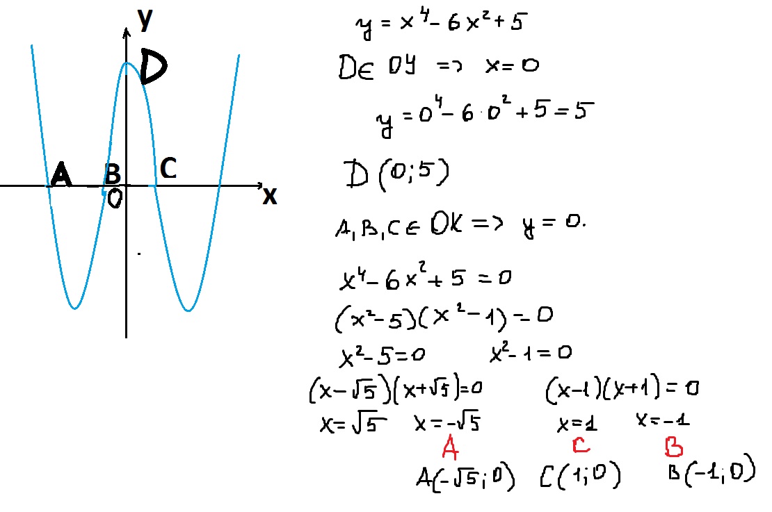
на рисунке изображен график функции y=x^4-6x^2+5. Найди координаты точки A,B,C и D.

Приложения:

Ответы

Ответ дал: esmilya
0
Если понравилось решение - нажимай "спасибо" и "лучший" (рядом с кнопкой "спасибо") :)
Приложения:
Вас заинтересует