• Предмет: Алгебра
  • Автор: yana36
  • Вопрос задан 11 лет назад

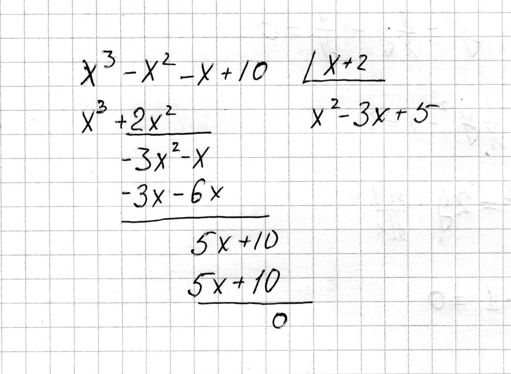
помогитее! (x^3-x^2-x+10):(x+2)

Ответы

Ответ дал: Гоша68
0

подставим значение x=-2 в числитель

-8-4+2+10=0

разделим "уголком" один многочлен на другой.

(x^2-3x+5)

Приложения:
Вас заинтересует