• Предмет: Алгебра
  • Автор: newplayer
  • Вопрос задан 11 лет назад

Помогите пожалуйста решить задание

 

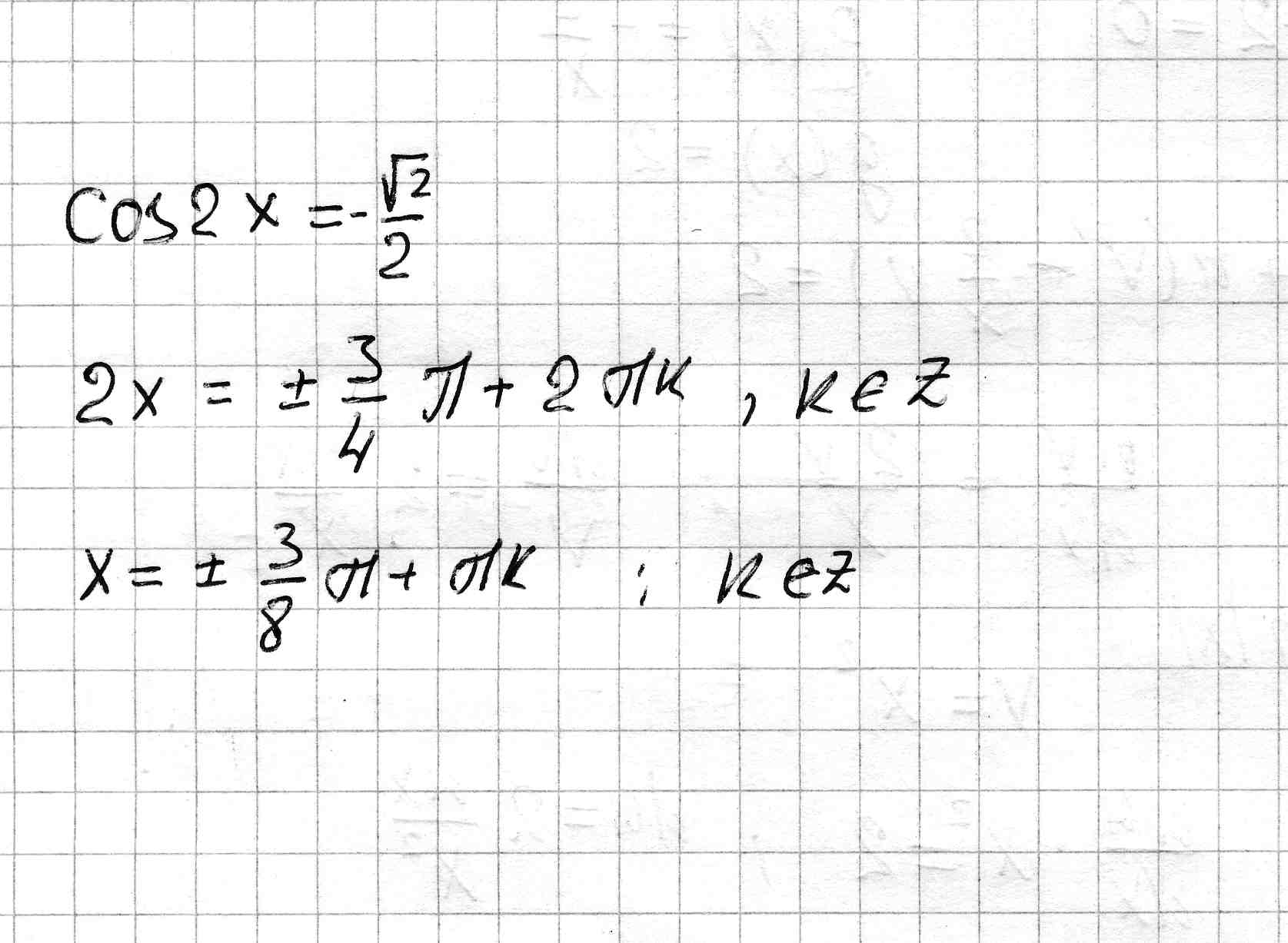
cos2x= -frac{1}{sqrt{2}}

Ответы

Ответ дал: Гоша68
0

cos2x=-sqrt(2)/2

2x=+-3/4П+2пk

x=+-3/8П+Пk

Приложения:
Вас заинтересует