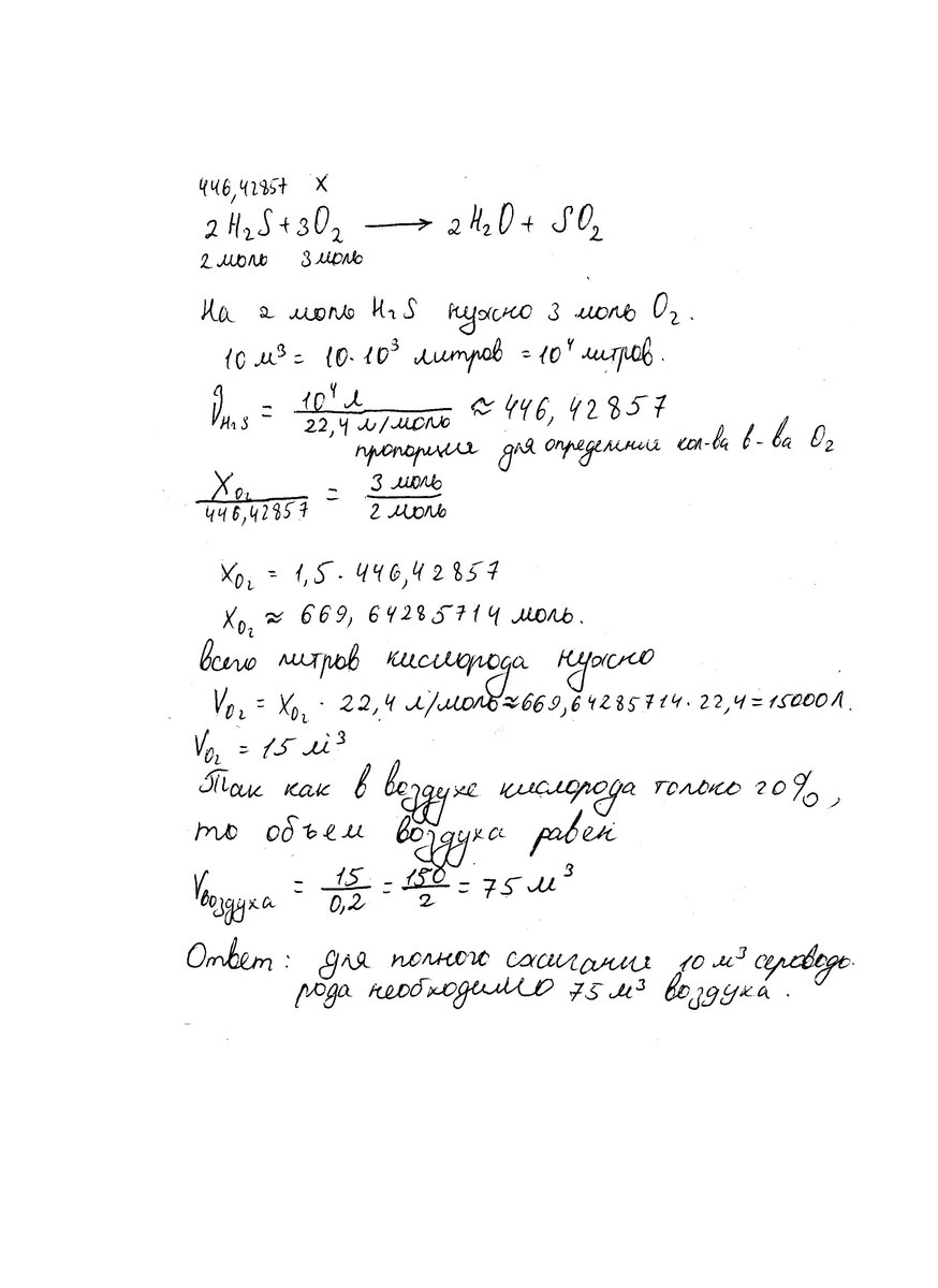
Какой объем воздуха при н,у
необходим для горения 10м в кубе
сероводорода? доля кислорода в воздухе 20%
Ответы
Ответ дал:
0
Написала во вложении. Наверное, правильно. Посмотри.
Приложения:

Вас заинтересует
2 года назад
2 года назад
10 лет назад
10 лет назад
10 лет назад