• Предмет: Алгебра
  • Автор: Violetta13
  • Вопрос задан 11 лет назад

Помогите пожалуйста решить алгебру. ПРОШУ!!ПОМОГИТЕ!!!СПАСИБО!!!СМОТРИТЕ ВЛОЖЕНИЯ ИХ ДВА!!

Приложения:

Ответы

Ответ дал: Гоша68
0

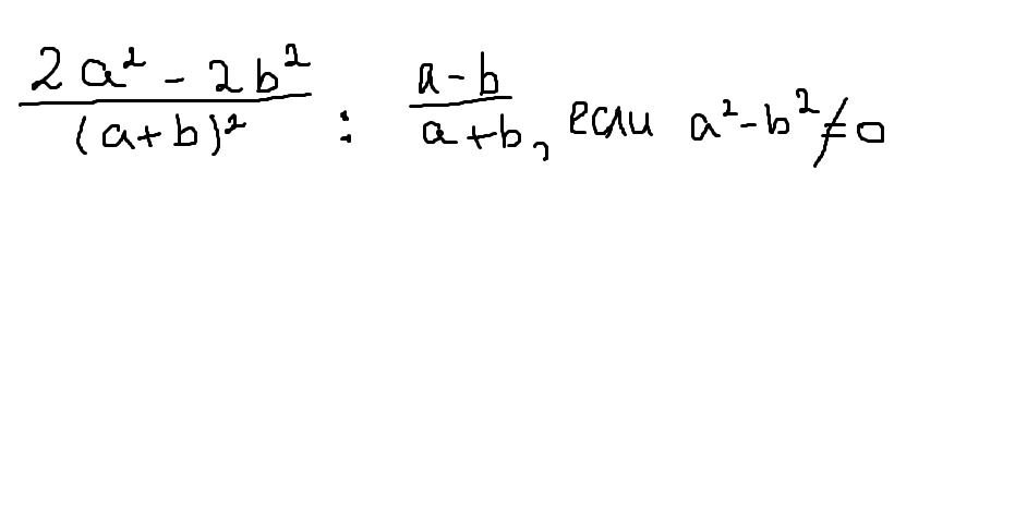
2(a^2-b^2)/(a+b)^2*(a+b)/(a-b)=2

 

(2x+1)(2x+3)-(2x-1)^2+22=0

4x^2+2x+3+6x-4x^2-1+4x+22=0

12x+24=0

x=-2

 

(6x-9)/3-(x-9)/2+3=0

(2x-3)+3-(x-9)/2=0

4x-x+9=0

3x+9=0

x=-3

Вас заинтересует