• Предмет: Алгебра
  • Автор: TanyaShlapak98
  • Вопрос задан 10 лет назад

помогите, пожалуйста!
1 и 3 задание

Приложения:

Ответы

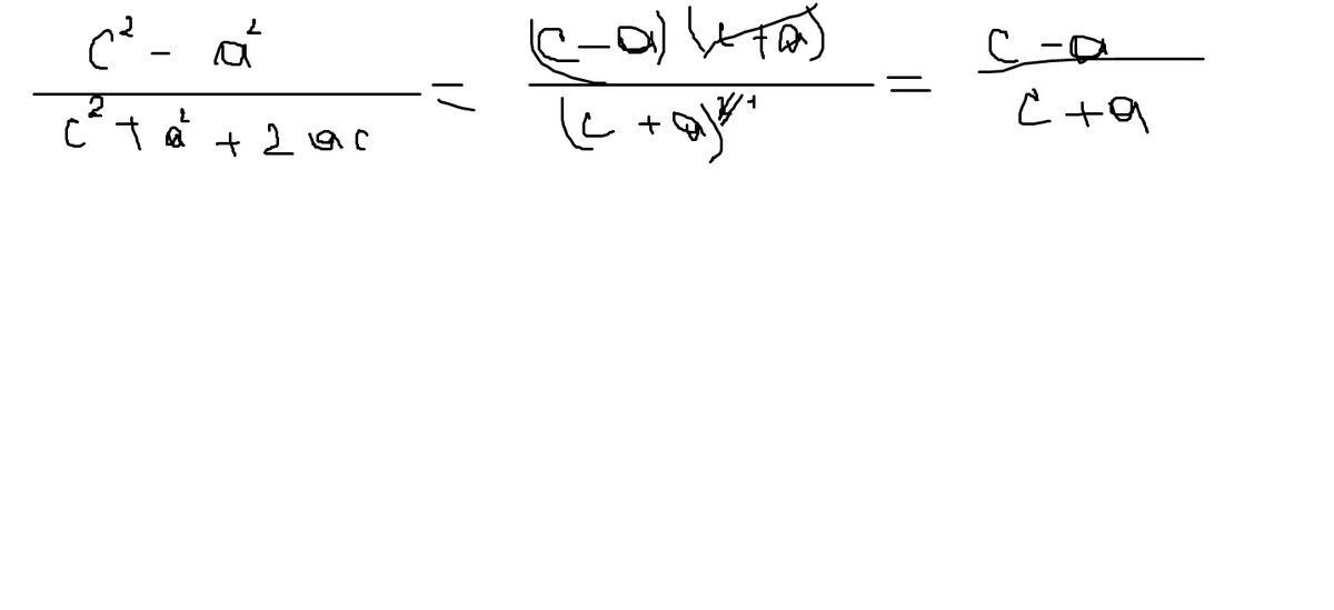
Ответ дал: yulkab777
0
Просто надо знать формулу
Приложения:
Вас заинтересует