• Предмет: Алгебра
  • Автор: 42MrZlobniy42
  • Вопрос задан 10 лет назад

Помогите с серией заданий
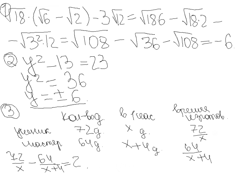
1 Упростить выражение V-корень
v18*(v6-v2)-3v12
2 Решить уравнение
Общая скобка y-5x=1;y^2-13=23
3 Решить задачу с использование таблицы
Мастер должен был изготовить 72 детали,а ученик 64 детали. Изготовляя в час на 4 детали больше ,чем ученик,мастер выполнил заказ на 2 часа раньше. Сколько деталей изготовлял в час мастер и сколько ученик?
Помогите ,пожалуйста,но нужно еще и решение приложить

Ответы

Ответ дал: an4ik36
0
в задаче я тебе составила уравнение, далее всё дело техники;) 
Приложения:
Вас заинтересует