Помогите пожалуйста!!!
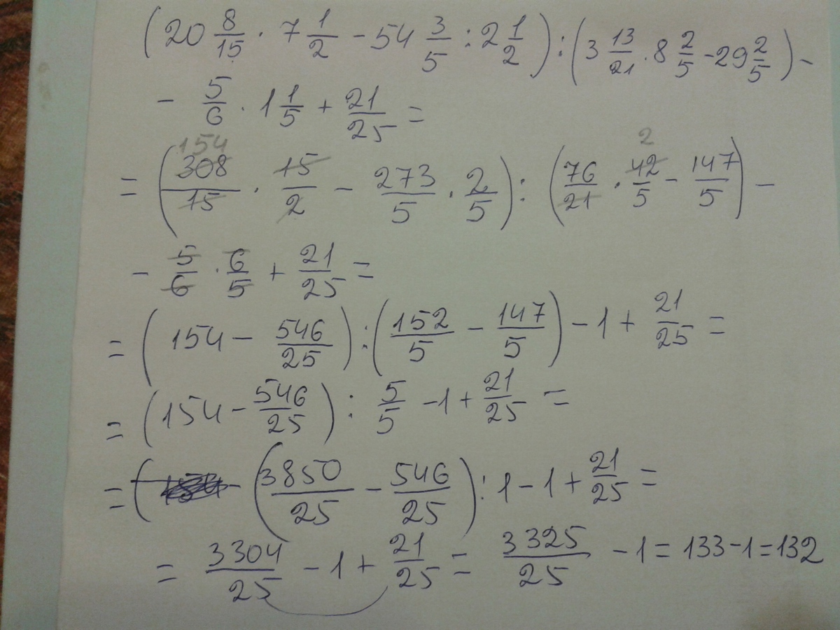
(20 8/15 * 7 1/2 - 54 3/5 : 2 1/2) : (3 13/21 * 8 2/5 - 29 2/5) - 5/6 * 1 1/5 + 21/25.
Приложения:

Ответы
Ответ дал:
0
Смотрите фото, если там все так , ка вы написали
Приложения:

Вас заинтересует
2 года назад
2 года назад
7 лет назад
7 лет назад
10 лет назад
10 лет назад
10 лет назад
10 лет назад