Ответы
Ответ дал:
0
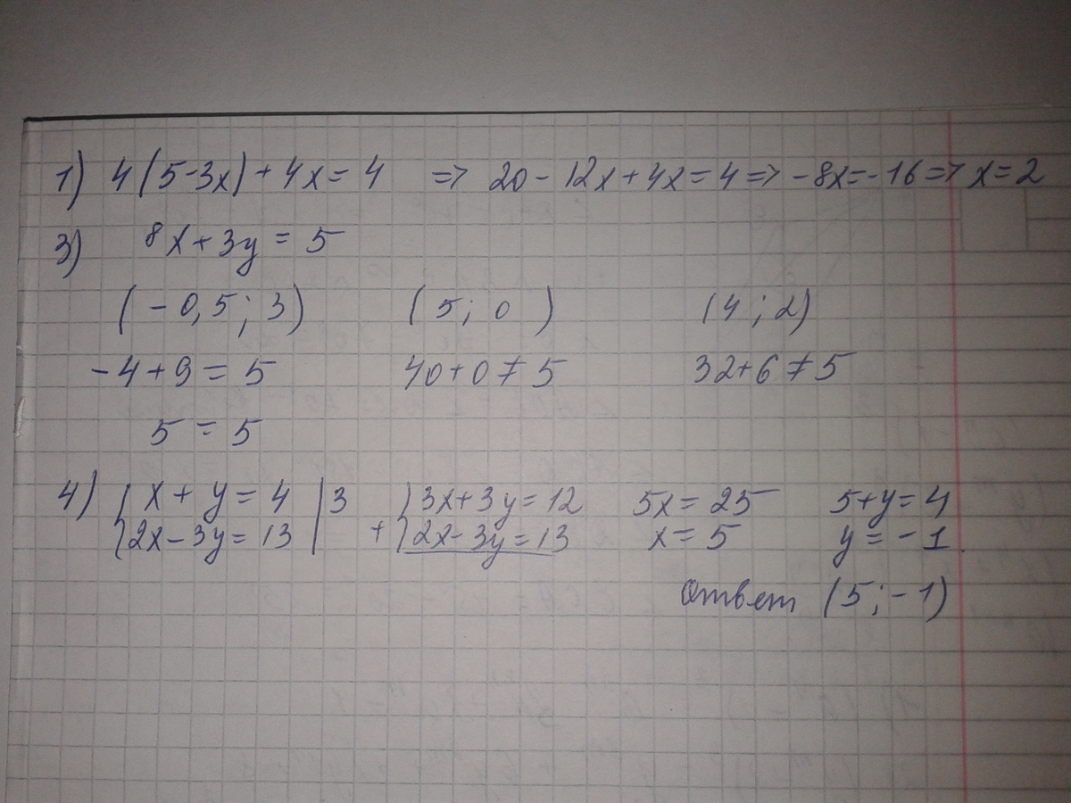
пример 1
4*(5-3х)+4х=4
20-12х+4х=4
-8х=4-20
-8х=-16
х=2
пример 2
не видно полностью условие
пример 3
8х+3у=5
а)(-0,5,3)
8*(-0,5)+3*3=5
-4+9=5
5=5
да
б)(5,0)
8*5+3*0=5
40+0=5
нет
в)(4,2)
8*4+3*2=5
32+5=5
нет
пример 4
х+у=4
2х-3у=13
умножим первое уравнение на 3
3х+3у=12
2х-3у=13
складываем
5х=25
х=5
тогда
х+у=4
5+у=4
у=4-5
у=-1
Ответ ---- (5,-1)
4*(5-3х)+4х=4
20-12х+4х=4
-8х=4-20
-8х=-16
х=2
пример 2
не видно полностью условие
пример 3
8х+3у=5
а)(-0,5,3)
8*(-0,5)+3*3=5
-4+9=5
5=5
да
б)(5,0)
8*5+3*0=5
40+0=5
нет
в)(4,2)
8*4+3*2=5
32+5=5
нет
пример 4
х+у=4
2х-3у=13
умножим первое уравнение на 3
3х+3у=12
2х-3у=13
складываем
5х=25
х=5
тогда
х+у=4
5+у=4
у=4-5
у=-1
Ответ ---- (5,-1)
Ответ дал:
0
/////////////////////////////////////////////
Приложения:
Вас заинтересует
3 года назад
3 года назад
8 лет назад
8 лет назад
10 лет назад
10 лет назад
11 лет назад