• Предмет: Алгебра
  • Автор: Кисунька5
  • Вопрос задан 10 лет назад

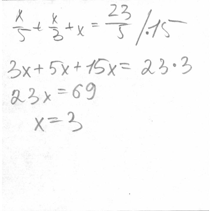
решите уравнение х/5+х/3+х=23/5

Ответы

Ответ дал: Lysika
0
Надеюсь, что верно)))
Приложения:
Вас заинтересует