Ответы
Ответ дал:
0
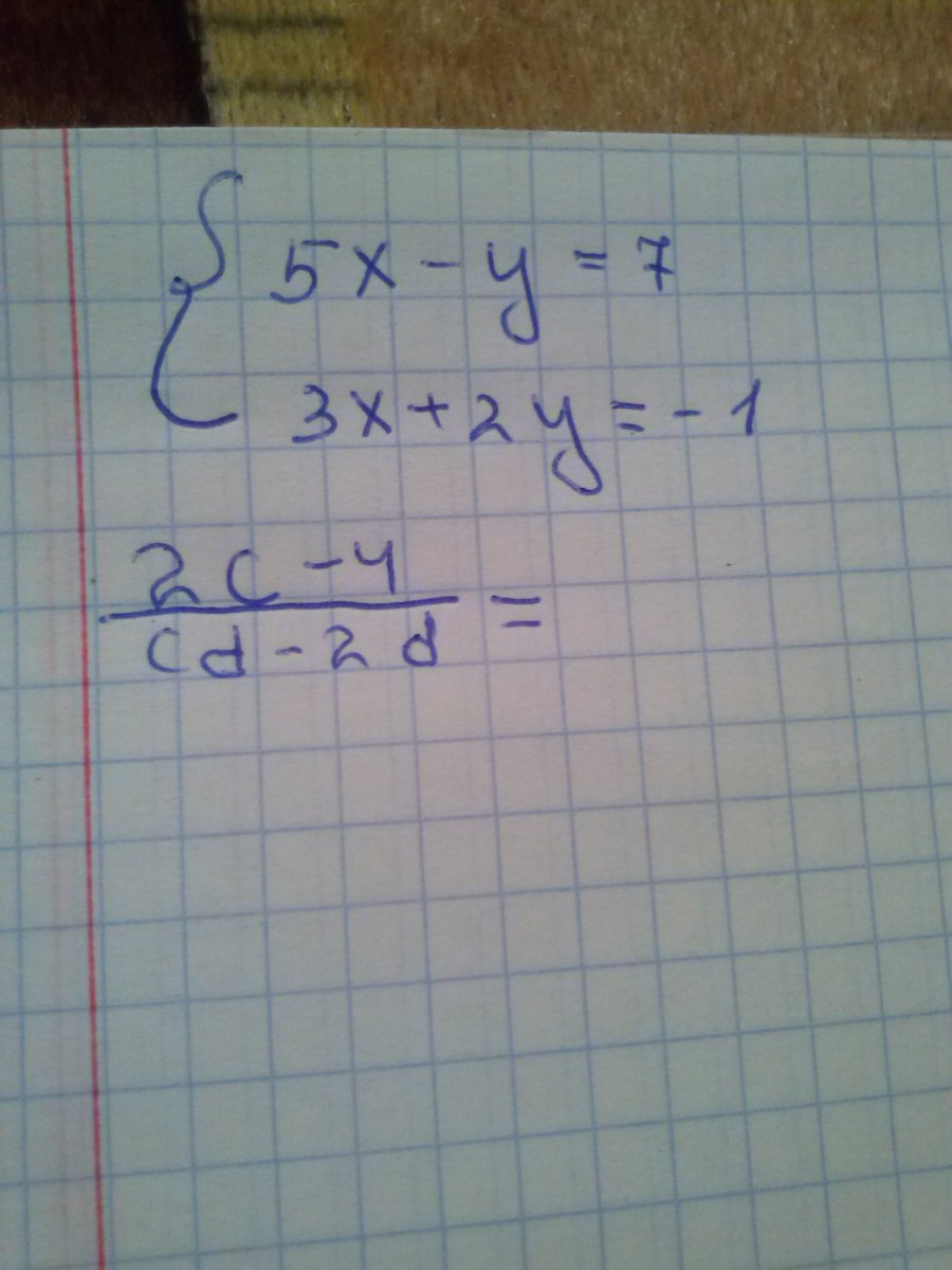
5х-у=7
3х+2у=-1
10х-2у=14
3х+2у=-1
13х=13
х=1
при х=1
5-у=7
-у=7-5
-у=2
у=-2
3х+2у=-1
10х-2у=14
3х+2у=-1
13х=13
х=1
при х=1
5-у=7
-у=7-5
-у=2
у=-2
Вас заинтересует
3 года назад
3 года назад
11 лет назад
11 лет назад
11 лет назад