• Предмет: Алгебра
  • Автор: гурьянча
  • Вопрос задан 10 лет назад

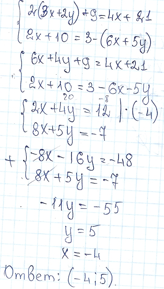
{2(3x+2y)+9=4x+21
{2x+10=3-(6x+5y)
СКАЖИТЕ ПЖ ОТВЕТ:)

Ответы

Ответ дал: Аноним
0
Решение во вложения, удачи.
Приложения:
Вас заинтересует