Ребята, срочно. 15 баллов за развернутое решение НА ВЫБОР НУЖНО РЕШИТЬ 1 номер
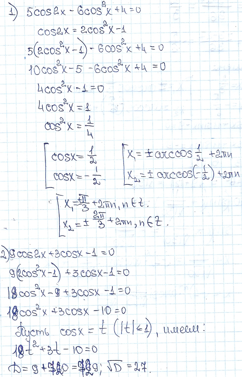
1) 5cos2x-6cos^2 x+4 = 0
2) 9cos2x+3cosx-1 = 0
3) 3cosx+11sinx+9 = 0
Ответы
Ответ дал:
0
Решение во вложения, удачи.
Приложения:


Вас заинтересует
2 года назад
7 лет назад
10 лет назад
10 лет назад
10 лет назад
10 лет назад