• Предмет: Алгебра
  • Автор: kluggefff
  • Вопрос задан 10 лет назад

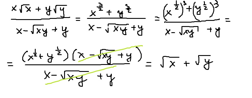
Вычислить:
x√x+y√y_____x-√xy+y

Ответы

Ответ дал: esmilya
0
Если понравилось решение - нажимай "спасибо" и "лучший" (рядом с кнопкой "спасибо") :)
Приложения:
Вас заинтересует