• Предмет: Алгебра
  • Автор: katysska
  • Вопрос задан 10 лет назад

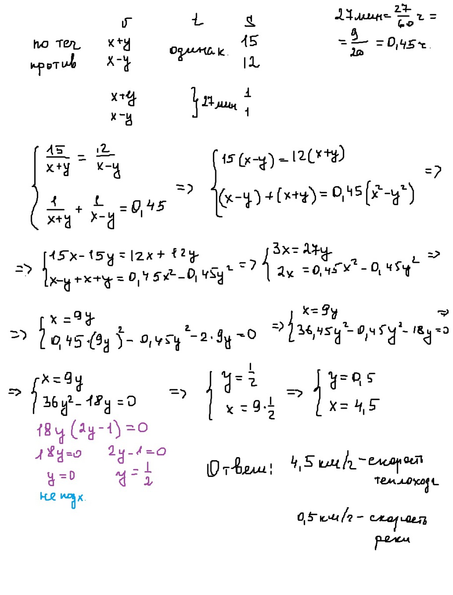
Човен проходить 15 км за течією річки за той самий час,що й 12 км проти течії.Чому дорівнює швидкість течії,якщо 1 км за течією і 1 км проти течії човен проходить за 27 хв?

Ответы

Ответ дал: esmilya
0
Если понравилось решение - нажимай "спасибо" и "лучший" (рядом с кнопкой "спасибо") :)
Приложения:
Вас заинтересует