Ответы
Ответ дал:
0
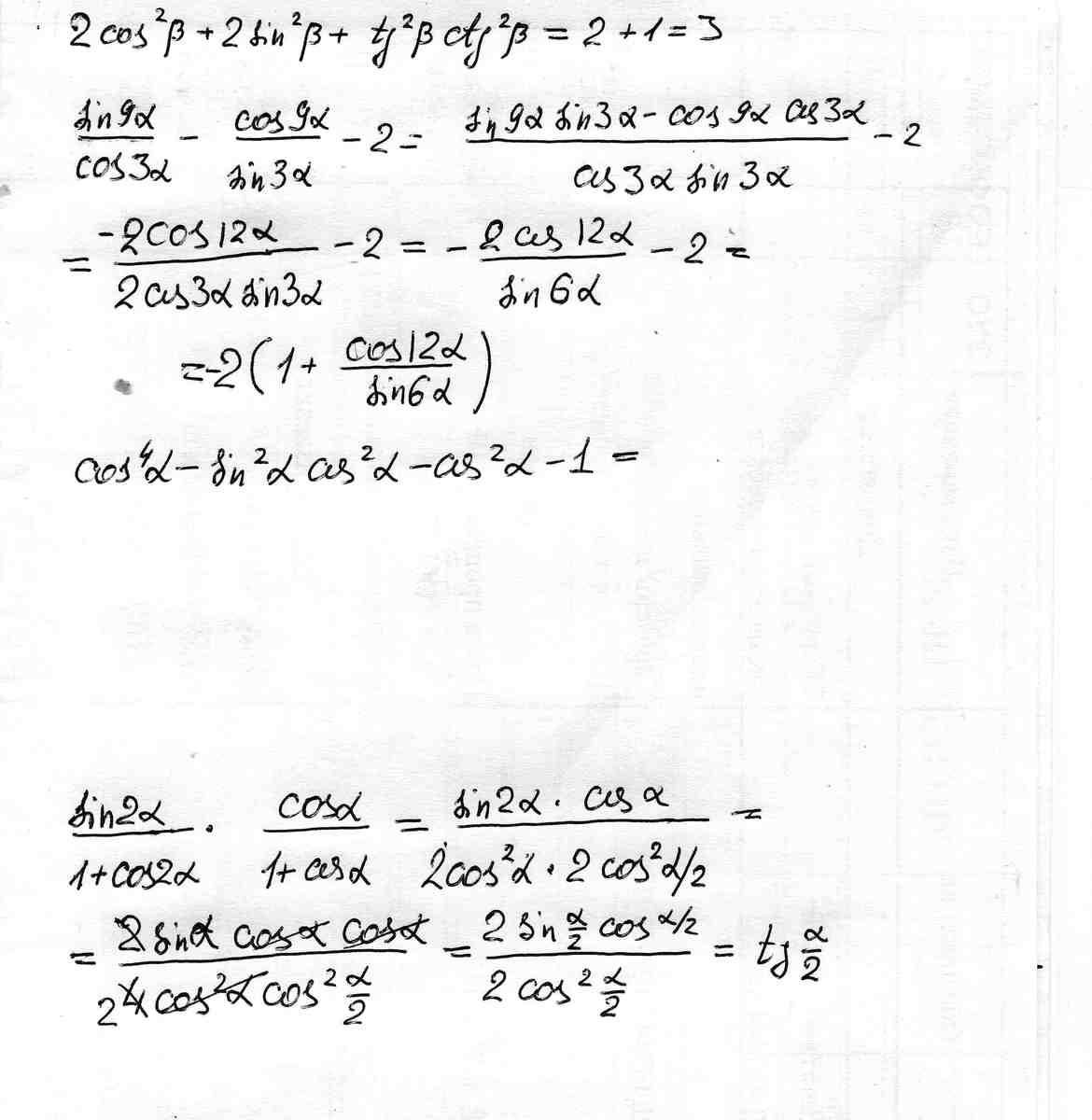
с третьим примером пока не справился. еще подумаю
сos^4x-sin^2xcos^2x-cos^2x-1=cos^2x(cos^2x-1)-1-sin^2xcos^2x=
=-2cos^2xsin^2x-1=-1/2sin^2(2x)-1
Приложения:

Вас заинтересует
2 года назад
2 года назад
8 лет назад
8 лет назад
10 лет назад
10 лет назад
10 лет назад
10 лет назад