• Предмет: Математика
  • Автор: Eldd
  • Вопрос задан 10 лет назад

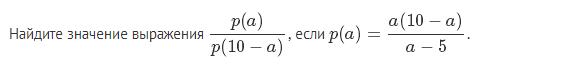
Найдите значение выражения p(a)/p(10−a), если p(a)=a(10−a/)a−5.

Приложения:

Ответы

Ответ дал: Аноним
0
p(10-a)=(10-a)(10-10+a)/(10-a-5)=(10-a)a/(5-a)
p(a)/p(10-a)=a(10-a)/(a-5) : (10-a)a/(5-a)=a(10-a)/(a-5) =(5-a)/(10-a)a=-1
Вас заинтересует