• Предмет: Алгебра
  • Автор: vitya1998
  • Вопрос задан 11 лет назад

1)2x²+9x+4=0

2)19x²-76=0

Ответы

Ответ дал: Paxmur
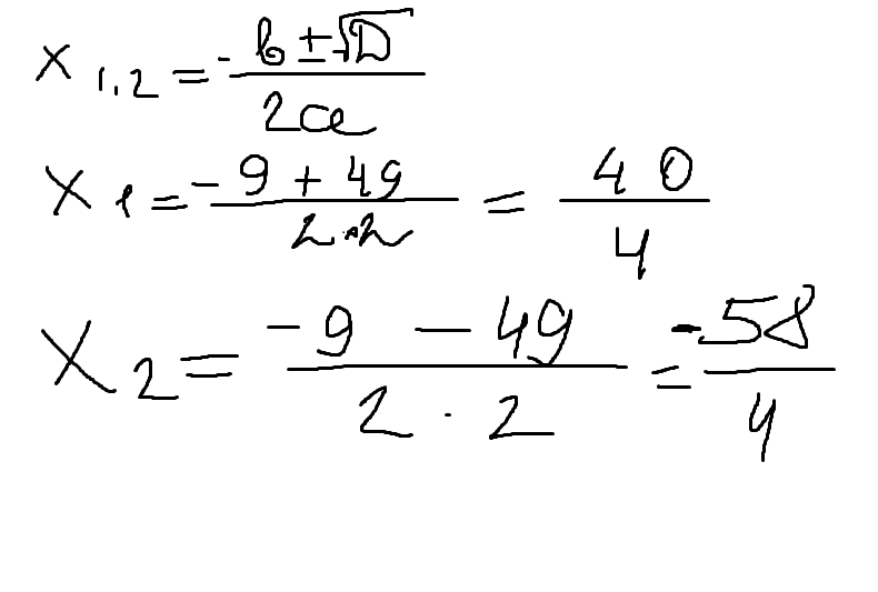
0

1)2x²+9x+4=0

a=2; b=9; c=4;

D=b²4ac

D=81-4*2*4=49²

продолжение ниже

Приложения:
Ответ дал: kristinarozhkova
0

1) a=2 b=9 c=4

D=b^2-4ac

D=81-32=49

x1=(-b-корень из D):2a=(-9-7):4=-4

x2=(-b+корень из D):2a=-2:4=-0,5

2)19x^2=76

x^2=76:19

x^2=4

x=2

Приложения:
Вас заинтересует