Ответы
Ответ дал:
0
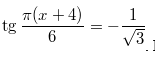
tg(π*(x+4)/6) = -1/√3
Если tg(a) = -1/√3, то а=(7π)/6
π*(x+4)/6 = (7π)/6
x+4 = 7/6
6x+24 = 7
6x = -17
x = -17/6
Ответ: -17/6.
Если tg(a) = -1/√3, то а=(7π)/6
π*(x+4)/6 = (7π)/6
x+4 = 7/6
6x+24 = 7
6x = -17
x = -17/6
Ответ: -17/6.
Вас заинтересует
3 года назад
3 года назад
8 лет назад
8 лет назад
11 лет назад
11 лет назад
11 лет назад