• Предмет: Алгебра
  • Автор: alinka0mandarinka
  • Вопрос задан 10 лет назад

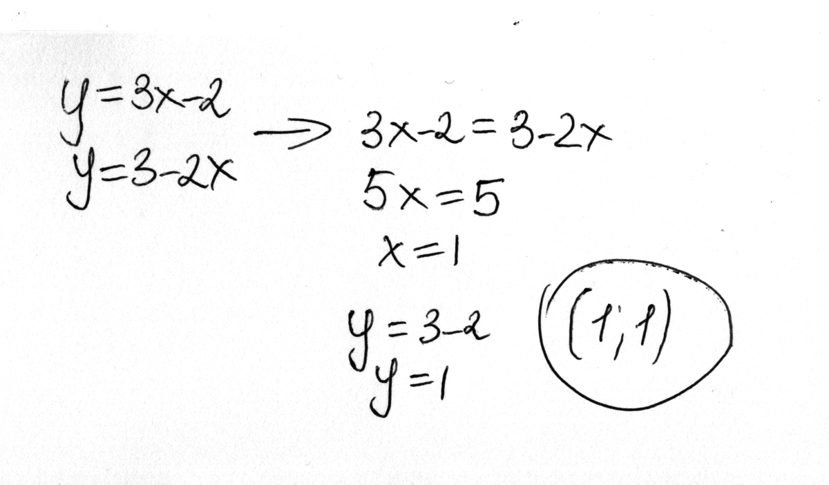
даны прямые : у=3х-2 и у=3-2х . Найдите координаты точек пересечения прямых. 

Ответы

Ответ дал: dalamber
0
Можно так, можно построить)
Приложения:
Ответ дал: Elanacha
0

просто решить эти системы нужно.

у=3х-2,/ * -1     -у=-3х+2

у=3-2х,              у=3-2х

                          0=-5х+5 или 5х=5,х=1

Если х=1, то у=3-2*1=3-2=1

Ответ:(1,1)

 

 

Приложения:
Ответ дал: Elanacha
0
решала способом сложения
Вас заинтересует