• Предмет: Математика
  • Автор: Prakilla1998
  • Вопрос задан 10 лет назад

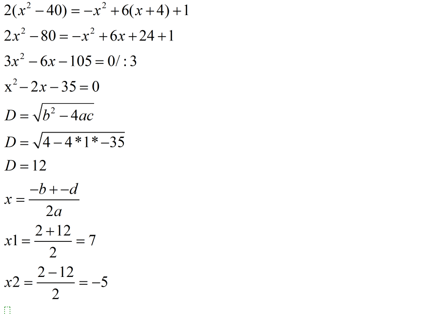
Решите уравнение 2(x^2-40)=-x^2+6(x+4)+1

Ответы

Ответ дал: flaymak
0
qweqweqweqweqweqweqwe
Приложения:
Вас заинтересует