Найдите корень уравнения:
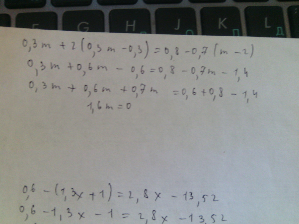
1)0,3m+2(0,3m-0,3)=0,8-0,7(m-2)
2)0,6-(1,3х+1)=2,8х-13,52
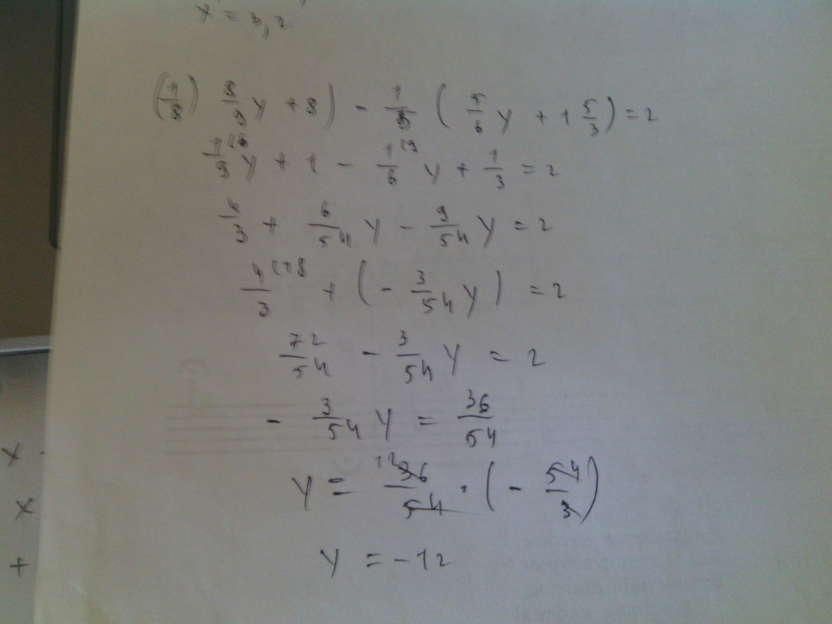
3)1/8)8/9у+8)-1/5(5/6у+1 2/3)=2
Ответы
Ответ дал:
0
1) m=0
2)x=3,2
3)y=-12
2)x=3,2
3)y=-12
Приложения:
Вас заинтересует
3 года назад
8 лет назад
8 лет назад
11 лет назад
11 лет назад
11 лет назад