Ответы
Ответ дал:
0
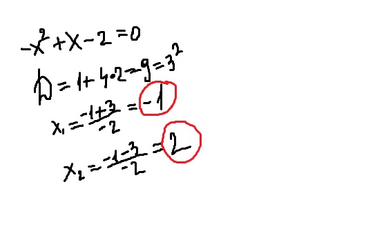
-x^2+x-2=0
D=1+8=9 кореньD=3
х1=-1-3/-2=2
x2=-1+3/-2=-1
Ответ:-1 до 2
D=1+8=9 кореньD=3
х1=-1-3/-2=2
x2=-1+3/-2=-1
Ответ:-1 до 2
Ответ дал:
0
вот решение,смотри на картинке
Приложения:

Вас заинтересует
2 года назад
2 года назад
7 лет назад
10 лет назад
10 лет назад