• Предмет: Алгебра
  • Автор: Аноним
  • Вопрос задан 11 лет назад

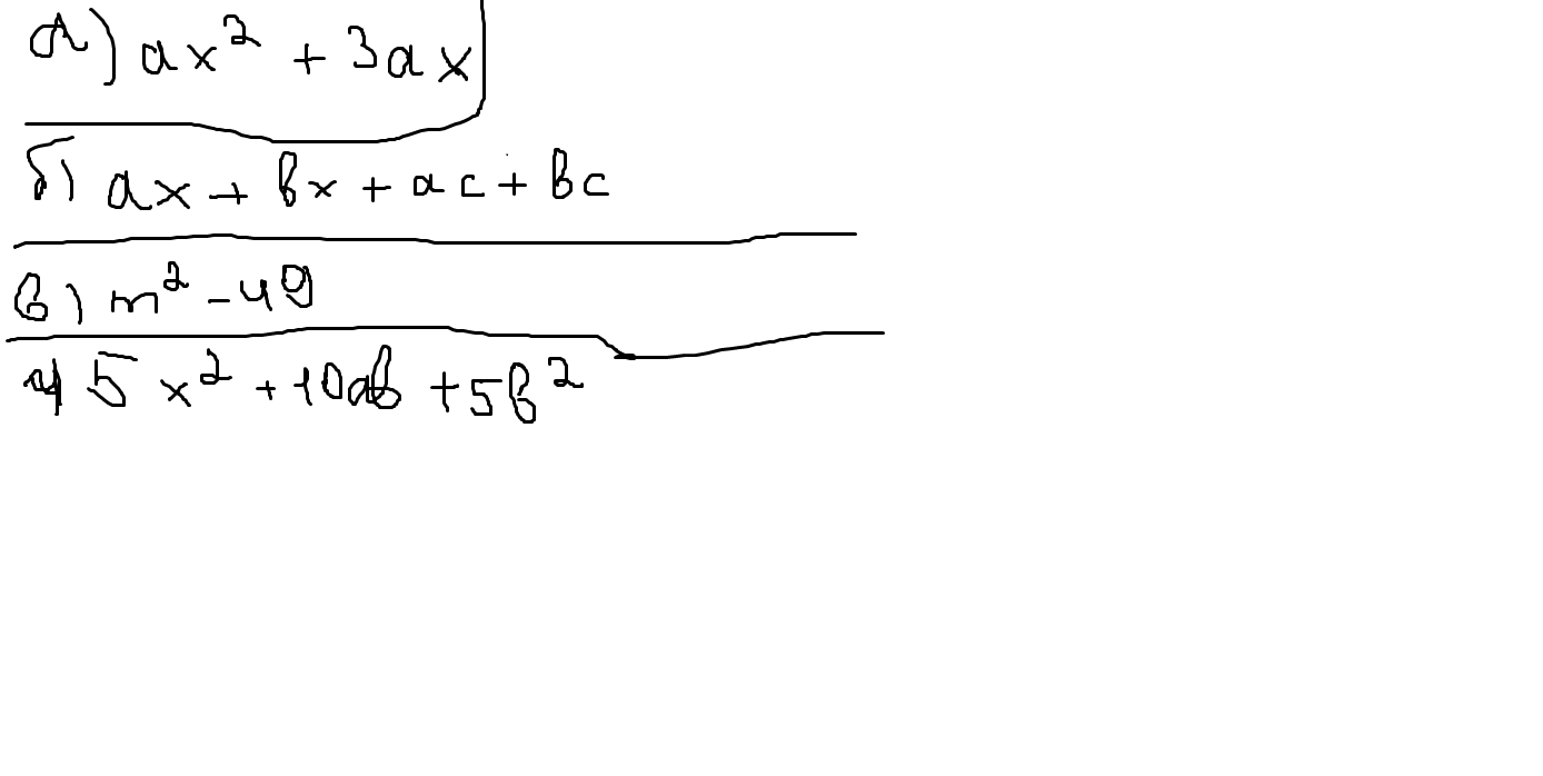
РАЗЛОЖИТЬ НА МНОЖИТЕЛИ
ОТКРОЙТЕ ВЛОЖЕНИЕ

Приложения:

Ответы

Ответ дал: rusakovwn
0

=ах(х+3)
=ах+ас+bх+bс=a(x+c)+b(x+c)=(a+b)(x+c)
=m^2-7^2=(m-7)(m+7)
=5(a^2+2ab+b^2)=5(a+b)^2

Вас заинтересует