Ответы
Ответ дал:
0
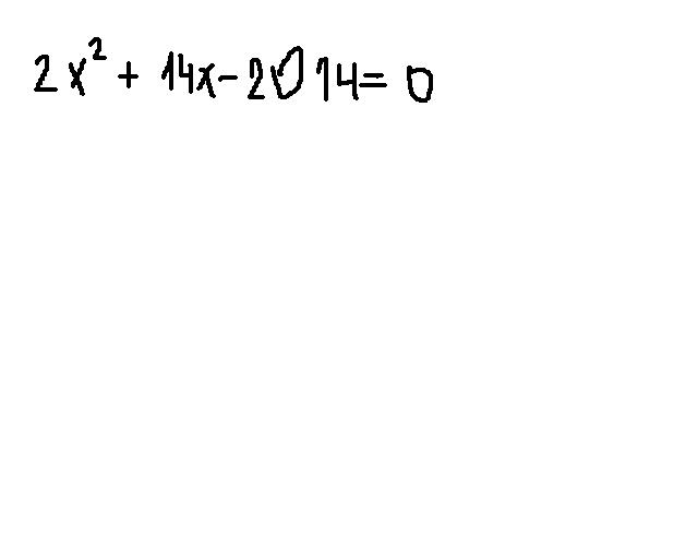
Делим уравнение на 2:
x^2 + 7x - 1007 = 0
D= 49+ 4*1007=4077
x1=7+ корень(4077)
х2= 7- корень (4077)
х1+х2= (7+ корень (4077) + 7 - корень (4077))/2 = 14/2 = 7
Ответ 7
З.Ы. Почему обязательно в паинте?
x^2 + 7x - 1007 = 0
D= 49+ 4*1007=4077
x1=7+ корень(4077)
х2= 7- корень (4077)
х1+х2= (7+ корень (4077) + 7 - корень (4077))/2 = 14/2 = 7
Ответ 7
З.Ы. Почему обязательно в паинте?
Вас заинтересует
3 года назад
3 года назад
8 лет назад
10 лет назад
10 лет назад
11 лет назад