• Предмет: Алгебра
  • Автор: seta7373
  • Вопрос задан 10 лет назад

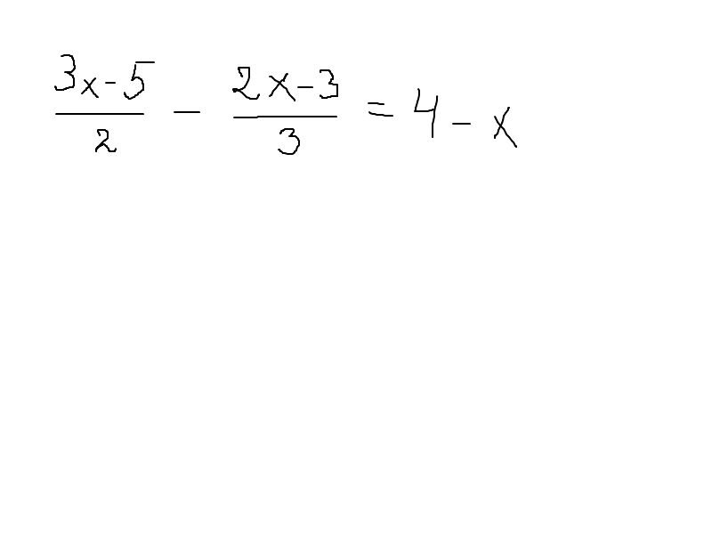
Решите уравнение!! Срочно!!! Есть фото!!

Приложения:

Ответы

Ответ дал: JulietteVi
0
(3x-5)/2 - (2x-3)/3-4+x=0 Умножим все уравнение на 6
3(3x-5)-2(2x-3)-24+6x=0
9x-15-4x+6-24+6x=0
11x-33=0
x=33/11
x=3
Вас заинтересует