Помогите пожалуйста очень надо??? Спектры дифракционной решётки,имеющей 100 штрихов на 1 мм,проектируются на экран,расположенный параллельно решётке на расстоянии 1,8 м от неё.Определить длину волны монохроматического света,падающего на решётку,если расстояние от спектра второго порядка до центральной светлой полосы составляет 21,4 см.Распишите подробнее с дано,что найти,решение и ответ)
Ответы
Ответ дал:
0
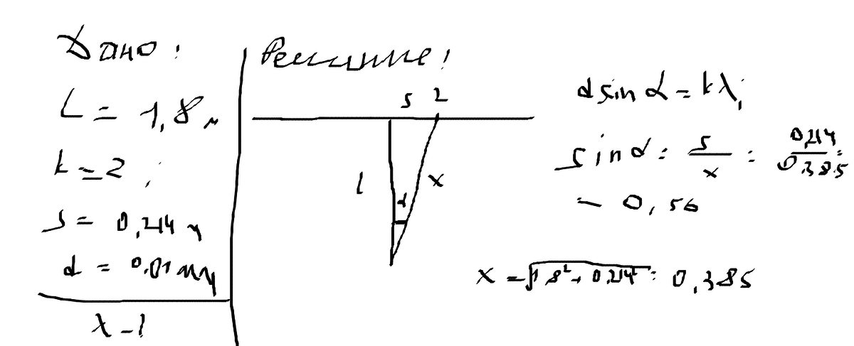
Сначала решение на первой фотке, а потом на второй.
Все есть)
Все есть)
Приложения:


Ответ дал:
0
где x=и все это в корне 1,8 в квадрате * 0,214 в квадрате = 0,385 ту нужна какая-та формула
Ответ дал:
0
та в ответе должно получится 590 нм
Вас заинтересует
2 года назад
2 года назад
7 лет назад
10 лет назад
10 лет назад
10 лет назад